「前のランナーに引っ張ってもらう。」この感覚は、決して気のせいではありません。これは、「空気抵抗」というランナー最大の敵を科学的に無力化する、非常にクレバーな戦略なのです。今回ご紹介するのは、そのドラフティング(集団隊列)の驚異的な効果を流体力学に基づいて解析した論文です。
“Aerodynamic effects and performance improvements of running in drafting formations” (Journal of Biomechanics, 2021)
この論文の知見は、マラソンランナーのタイムを大幅に短縮する、重要なヒントを秘めています。この記事では、この研究の驚きの結果と、それを次のレースにどう活かすべきかを提案します。
忙しい人向けの3行まとめ
・最適フォーメーションは前1+自分+後1の縦一列、フル換算の短縮:−154 秒(21 km/h時)。
・前走者との間隔の目安は約1m。
・横並びや前2人の間は単独走よりは良いが効果低。
1. どんな研究?
本研究では、ランナーの前7 m、後13 mの“空気の箱”を用意して空気の流れを計算しています(CFD)(Fig.1(a))。ランナー同士の前後距離や横の間隔は実際のレースに近い値(前後1.2 m、左右0.7 m)を採用。(Fig.1(b))ドラフティングのフォーメーションはレースで考えられる4パターン(後述)。速度は15/18/21/36 km/hで行っています。

出典:Schickhofer & Hanson (2021) 著者版(arXiv:2104.11976)、CC BY 4.0。Publisher’s DOI: 10.1016/j.jbiomech.2021.110457。
変更:サイズ調整(1200px)
2. 単独走での結果
Fig.2(a)は単独走における速度と空気抵抗の関係です。単独走では、速度が15→36 km/hに増加すると、空気抵抗(Total drag)は 3.39→18.45 N と速度の二乗に比例して増加し、高速域ほど空気抵抗を低減することの重要性が増すことを示しています。

出典:Schickhofer & Hanson (2021) 著者版(arXiv:2104.11976)、CC BY 4.0。Publisher’s DOI: 10.1016/j.jbiomech.2021.110457。
変更:トリミング((a)のみ抽出)+サイズ調整(1200px)
3. ドラフティングの“時短効果”はどれくらいか(論文の要点)
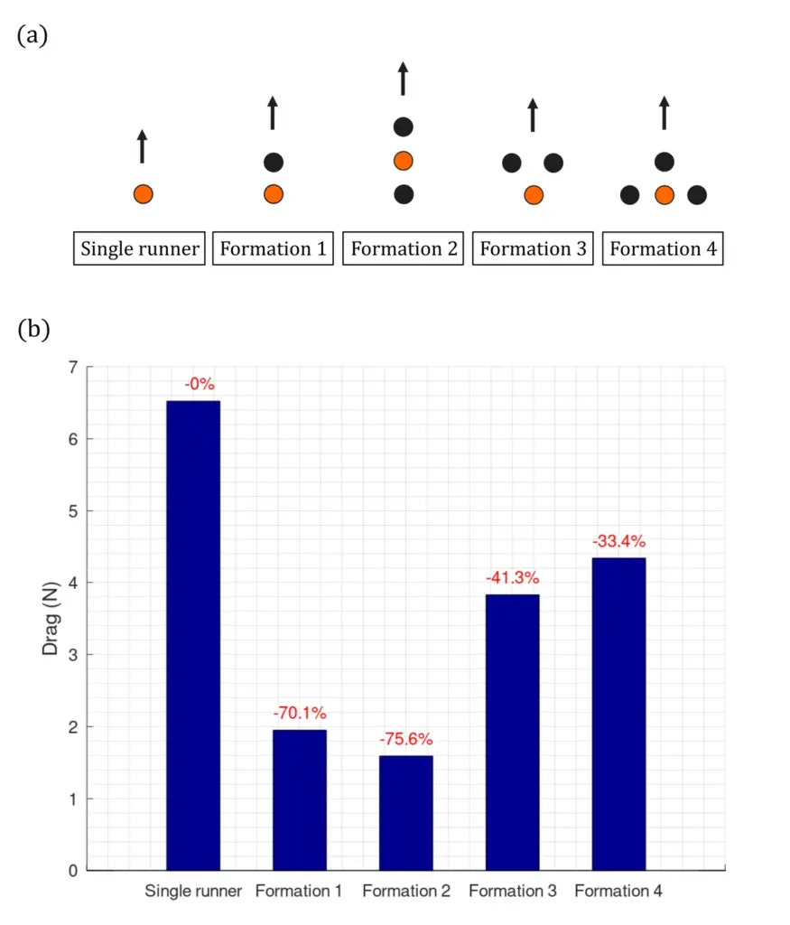
研究では、時速21km(=マラソン世界記録ペース)で4つの走行フォーメーションを比較しています。Fig.4(a)にはフォーメーションを、Fig.4(b)には空気抵抗と削減率(単独走比)を示しています。(主走者:オレンジ色、ペーサー:黒色)結果は驚くほど明確でした。
フォーメーション1:空気抵抗が −70.1%
フォーメーション2:最も効率的で −75.6%
フォーメーション3:効果は中程度で −41.3%
フォーメーション4:効果は最も低く −33.4%
フル換算のタイム短縮は、フォーメーション1/2/3/4でそれぞれ−142/−154/−98/−70秒となります。1や2のような縦一列が理想的で、ペーサーが左右に並ぶ3や4では、ランナーの身体に直接風が当たり、縦一列に比べ効果が半減することがわかりました。この差は想像以上に大きく、長距離では分単位の違いになります。

出典:Schickhofer & Hanson (2021) 著者版(arXiv:2104.11976)、CC BY 4.0。Publisher’s DOI: 10.1016/j.jbiomech.2021.110457。
変更:サイズ調整(1200px)。
4. ペーサーとの最適距離は?
フォーメーション1(1人のペーサーが前を走る形)をもとに、「前走者との間隔と空気抵抗の関係」を計算したのがFig.6です。結果はシンプルで
前のランナーに近づくほど空気抵抗は減ってゆき、間隔1.0mにおける空気抵抗は1.45 N(単独の約22%)まで低下します。
一方で、著者らは幾何学的な下限は約0.6 mであると述べており、安全距離の関係で前走者との間隔1 m前後が「現実的かつ効果が高いドラフティング距離」であると考えられます。本論文のフォーメーション比較(Fig.4/Fig.8/Fig9)ではドラフティング距離1.2mでシミュレーションしています。

出典:Schickhofer & Hanson (2021) 著者版(arXiv:2104.11976)、CC BY 4.0。Publisher’s DOI: 10.1016/j.jbiomech.2021.110457。
変更:サイズ調整(1200px)。
5. 風の“見える化”でわかる、理想のドラフティングフォーメーション
Fig.8 はランナー周囲の風の流れを、Fig.9 は風の速さを可視化したものです。
- フォーメーション1と2は、どちらも主走者が完全に前方ペーサーの“後流”の中に入り、自分のまわりの空気がほとんど動かない状態になっています。
- 特にフォーメーション2は、後ろのペーサーの圧力効果で背後の「吸い戻し(負圧)」も減り、まるで前後から空気の壁に守られているような理想的な状態。
- フォーメーション3では、2人のペーサーの間のすき間から風が漏れ込み、主走者の胸に正面から風が当たっています。(Fig.8)結果として胸部の停滞圧が高まり、空気抵抗が増加。
- フォーメーション4では、左右のペーサーとの間を風が加速して通過(Fig.9)します。これにより主走者の空気抵抗が増加。背後のドラフトゾーンも短くなり、空気の恩恵を十分に受けられません。
この結果からわかるのは、縦一列が科学的に最強のフォーメーションということです。

出典:Schickhofer & Hanson (2021) 著者版(arXiv:2104.11976)、CC BY 4.0。Publisher’s DOI: 10.1016/j.jbiomech.2021.110457。
変更:サイズ調整(1200px)。

出典:Schickhofer & Hanson (2021) 著者版(arXiv:2104.11976)、CC BY 4.0。Publisher’s DOI: 10.1016/j.jbiomech.2021.110457。
変更:サイズ調整(1200px)。
6. 本研究の前提と限界
本論文では、手脚の運動時間変動や横風は直接扱っていません。人間の形状は平均化した女性一体型で、衣服や髪などの表面性状差は抑え気味に出る可能性があります。速度は21 km/hで固定されており、10–12 km/h帯など低速域にそのまま適用できるかは不明です。以上より、数値は上限目安として読むのが妥当ですが、縦一列+間隔1 mが良条件という知見自体は実戦で活かせるはずです。
7. Q&A
Q1. ペーサー側にも空力メリットはある?
A. ある。フォーメーション1および2では、主走者だけでなく先行ペーサーおよび後方ペーサーにも明確な好影響が見られたと述べられています。
Q2. INEOS 1:59 のフォーメーションは4つのうちどれ?
A. 該当なし。INEOSは逆V字(inverted-V)の特殊フォーメーションで、本研究の4隊列とは別物。将来検討すべき多様な隊形の例として触れられています。
Q3. 実レースで“きれいなフォーメーションは組めない。 集団内での位置どりは?
A. 縦一列を意識して位置取りする。
- 小集団:前1の真後ろが基本。
- 大集団:横並びに長居しない。縦一列の中に入り、前2人の隙間の後ろには入らない。
Q4. 横風の場合は?
A. 横風の影響は本論文では考慮されていませんが、自転車レースのエシュロンと呼ばれる斜めの隊列は、ランニングでも有効と考えられます。
Q5. 単独走になったとき、どう動く?
本論文が示すように、集団走のメリットはフル換算で数分と非常に大きいので、私は多少の無理・タイムロスというリスクを冒しても集団に入るように動きます。 例えば、
- 前方に集団がいる場合→ 多少無理しても追いついて集団に入る
- 後方に集団がいる場合 → 多少タイムロスしても待って集団に入る
- どちらもいない → 後方から良い集団が接近するまで耐える。
8. まとめ
本論文は、「集団で走ると楽」という経験則を、科学的に「どれくらい得か」を数字で証明してくれました。
- フルマラソンなら154秒(約2分半)もタイムが縮まる可能性がある。
- ただし、「真後ろ」につかないと効果は半減。
ドラフティングは、チートでも偶然の産物でもありません。 空気抵抗という物理法則を理解し、それを利用する「クレバーなランニング技術」の一つです。
賢く走って、自己ベストを更新しましょう!
関連記事




参考文献
Schickhofer, L., & Hanson, J. A. (2021). Aerodynamic effects and performance improvements of running in drafting formations. Journal of Biomechanics, 122, 110457. https://doi.org/10.1016/j.jbiomech.2021.110457(著者版:arXiv:2104.11976)
画像の出典とライセンス
本記事の画像(Fig.1、Fig.2(a)、Fig.4、Fig.6、Fig.8、Fig.9)は、上記論文の著者版(arXiv:2104.11976)からの転載で、Creative Commons CC BY 4.0 に従います(https://creativecommons.org/licenses/by/4.0/)。
変更点:Web掲載用のサイズ調整、Fig.2は(a)のみトリミング、一部にクレジット帯のオーバーレイ/注記線を追加。
Publisher’s DOI: 10.1016/j.jbiomech.2021.110457.


コメント