厚底は長時間走でも有利?|アルファフライ vs ペガサスをRE・LTで検証【論文】

忙しい人向けの3行まとめ
・同じ速度では厚底カーボンが、非厚底に比べVO₂・心拍・乳酸・RPEすべて低く、REは4–6%優位。
・同じキツさなら厚底カーボンの方が約0.5 km/h速いのにVO2は同等、REと心拍で優位。
・最初の20分が最も非効率。80分走後は両シューズでREとLTが改善した。
はじめに
厚底カーボンシューズは「履くだけで速くなる」という魔法のようなシューズですが、こんな疑問を持ったことはありませんか?
「レース終盤に疲れてきても、シューズが走りを助けてくれるの?」
そんなランナーたちの疑問に答える、非常に興味深い論文(Persistent Improvements in Running Economy With Advanced Footwear Technology During Prolonged Running in Trained Male Runners. )が発表されました。今回は、この最新研究の結果を分かりやすくご紹介します。
どんな研究?
被験者は男子長距離ランナー10名(ハーフ75±3分)。厚底カーボンシューズはNike Alphafly 3(以下、CP)、非厚底はNike Pegasus 41(以下、NCP)。重量差も含め実運用のパッケージとして比較しています。
まず、各シューズのREとLTスピード(LTCP、LTNCP)をトレッドミルで測定。次に以下の80分走×3本をランダム順で実施しました。
- 条件A: 95%LTNCPでNCP
- 条件B: 95%LTNCPでCP
- 条件C: 95%LTCPでCP
走行中の規定タイミングでVO₂、RE、心拍、RPE、血中乳酸を計測。糖質ジェルで補給し、終了後に短い低速ランを挟んでREとLTを再評価しました。トレッドミル勾配は0%。LTはベースライン+1 mmol/L基準で測定。

研究結果
①:同じ速度(95%LTNCP)の場合
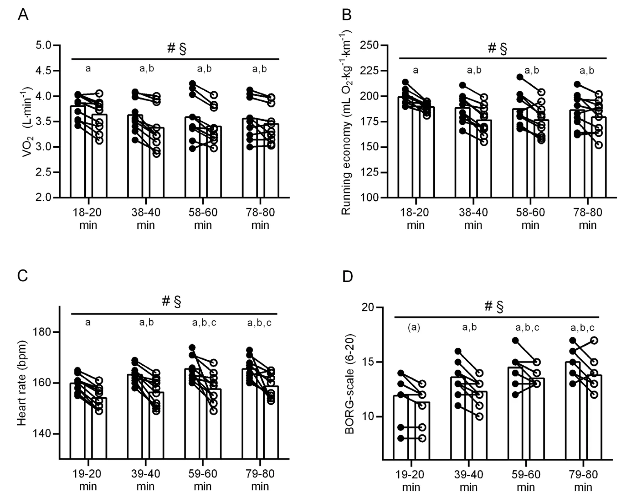
Fig.2は同じ速度(95% LTNCP)で80分走を行った際の、NCPシューズとCPシューズにおける (A) 酸素摂取量(V̇O₂)、(B) RE、(C) 心拍数、(D) 主観的運動強度(Borg)の変化です。個々のデータは黒丸(NCP)と白丸(CP)で示し、棒は平均を示します。同じ速度で走るなら、CPが終始“楽で省エネ”でした。
時間経過に伴いVO2、REは両条件で改善。CPがNCPより4–6%一貫して良好。VO₂は常にCPが低値で、心拍は約4–5%低く、RPEも低め。血中乳酸は全体に微増するものの、CPがつねに0.3–0.5 mmol/L低い傾向です。
②:同じキツさ(95%LT各シューズ)の場合
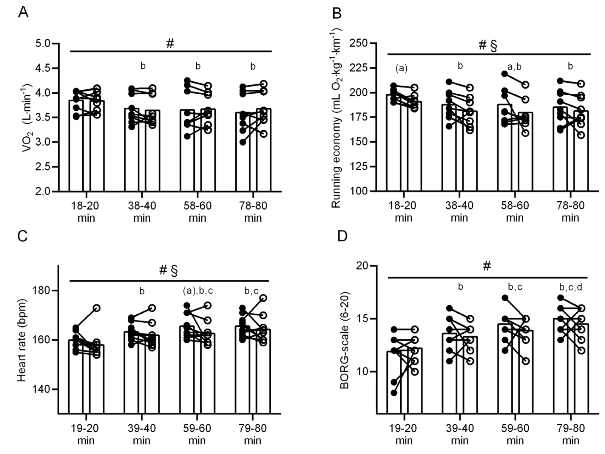
Fig.4は各シューズのLTの95%で80分間走行した際の、NCPシューズおよびCPシューズにおける (A) 酸素摂取量(V̇O₂), (B) RE, (C) 心拍数, (D) 主観的運動強度(Borg) の変化です。「キツさが同じ」場合は、CPの方が平均で約0.5 km/h速い巡航になりました。
ここでも、時間経過に伴いVO2、REは両条件で改善。VO₂は両条件で同等。一方でREはCPが+2〜4%良好、心拍もCPが低い。RPEは差が出ません。
③:80分走後の再評価(REとLT)
この研究で最も驚くべき発見は、ここかもしれません。研究チームは当初、「80分も走れば疲労してREやLTは低下(悪化)するだろう」と予想していました 。しかし、結果は真逆でした。
Fig.6はLT速度の比較です。黒丸=十分休息した状態、白丸=95% LTNCPで80分走後、灰色丸=95% LTCPで80分走後。棒は各平均です。各80分走の後にLTが“両シューズで”改善したことが確認できます。
具体的にはLTスピードがNCPで約+0.4 km/h、CPで約+0.6 km/h上昇。さらにCPはLTスピードが常に高い(+0.5〜0.6 km/h)という差が一貫していました。(Fig.6はLT速度のみを図示しています。14 km/hのREは NCP: 193→184、CP: 185→174 mL·kg⁻¹·km⁻¹)
この知見をどう活かすか?
※ここからは私の考え・応用提案です。
私は本研究結果を以下のように解釈しました。
・CPはNCPに比べて95%LT(≈Mペース相当)が0.5km/h速い。
・95%LT(≈Mペース相当)で約80分走ると、スタート時よりもREとLT速度が上がる
・最も非効率なのはスタート〜20分(Fig.2、Fig.4のVO2、REで一貫して認められる)
これらから、以下のようなアイディアが考えられます。
シューズ選択
サブ3ランナーの場合、CPとNCPの速度差0.5km/hはフル約6分短縮に相当しますので、レースではCP一択。また、練習ではCPで試走し、自分に合ったCPを選ぶことが大事と考えます。
CPとNCPはLTスピードが異なるため、走行ペースは履くシューズ別に把握しておく。練習のE/M/T/Iのペースはシューズ基準で実施する。

ペース配分
「Mペースで80分後はスタート時よりもREとLT速度が上がる」ことから、フル中盤までは抑えめに走り、「REとLT速度が整った後半に勝負する。」ことが有効と考えます。

“最初の20分”の扱い
最も非効率なのはスタート〜20分。ここを“ウォームアップ区間”と位置づけ、
- 事前:可能なら直前までウォームアップを実施。
- スタート〜20分:ウォームアップ区間として無理をしない。
- NG:序盤からT〜I強度の無駄上げ、過剰なストライド拡大
FAQ
Q. 厚底カーボンでどれだけ速くなる?
A. 約+0.5 km/h。ただしシューズの個体差は大きいと思われます。
Q. CPとNCPはどのシューズを使ったの?
A. CP:Nike Alphafly 3 、NCP:Nike Pegasus 41、サイズは被験者ごと。
Q. 95%LT速度とは?
95%LT = ダニエルズの「M(マラソン)ペース」相当。
根拠:LT=ダニエルズのTペース(≒1時間走ペース)。95%LTは“速度で5%落とす”ので、ペースは約5.3%遅くなる。ダニエルズ体系ではMはTより約4–10%遅い帯に入るため、95%LTはMペースのど真ん中〜やや速めに位置する。
例:LTペースが3:50/kmなら、95%LTは3:50×1.053 ≈ 4:02/km。多くのサブ3前後ランナーではMペース近傍。
まとめ
厚底カーボンシューズの恩恵はレース中盤まで持続することは確かなようです。次のレースではシューズの力を信じて、中盤以降も積極的な走りを展開してみてはいかがでしょうか?
📘 科学を「知る」から「使う」へ

この記事で紹介した研究知見を、あなたのトレーニングに落とし込みましょう。AkiRunの無料ツールで、理論を実践に変えることができます。
📘 あなたの「PB更新ロードマップ」
関連記事



出典
Madsen, L. L., Abel, K., Hansen, A. A., Christensen, P. M., Lønbro, S., Lundby, C., & Gejl, K. D. (2025). Persistent Improvements in Running Economy With Advanced Footwear Technology During Prolonged Running in Trained Male Runners. Scandinavian Journal of Medicine & Science in Sports, 35, e70139. https://doi.org/10.1111/sms.70139
本記事の数値・結論は当該論文本文に基づいています。












コメント